miliamperios.com

Bootstrap Framework 3.3.6

Más de una docena de componentes reutilizables construidos para proporcionar iconografía, menús desplegables, grupos de entrada, navegación, alertas, y mucho más ...

Fundado el 13 de Noviembre del 2003.

Moderador: Moderadores

#1061932
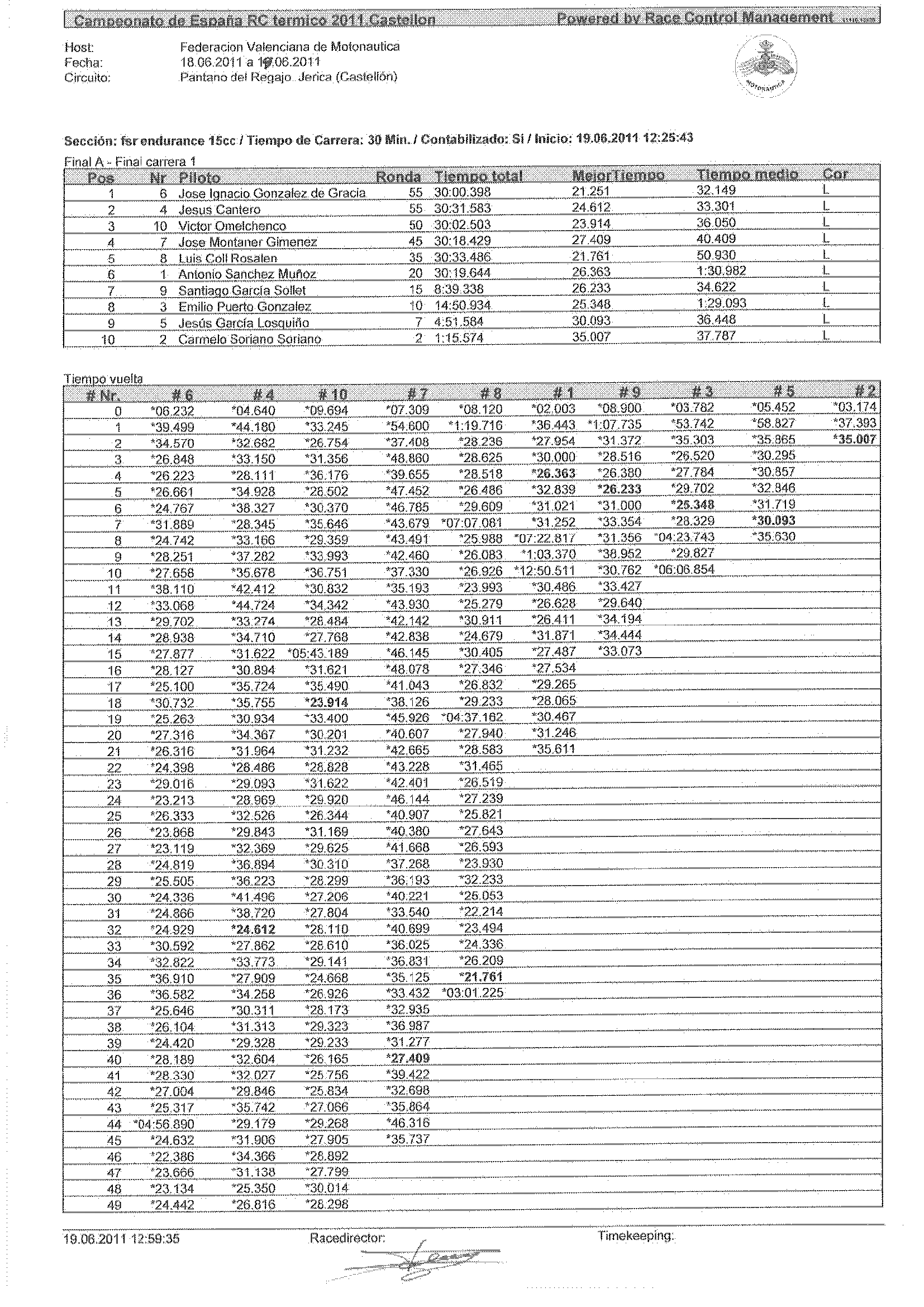
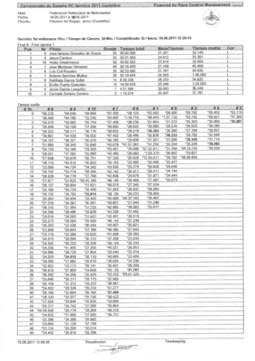
Si pinchais con el raton encima de la imagen, podreis ver la hoja de cronometraje.

Antes de nada, decir que hemos disfrutado en la celebración de este campeonato.
La atención fabulosa, el ambiente estupendo, el lugar un privilegio. El único pero es la cena del sábado que era escasa..... NOS SALIA LA COMIDA POR LAS OREJAS!!!!!!!!

Hacía tiempo que no estaba en una prueba de térmicos, y ya digo que la disfruté.
Probamos el software de cronometraje pero pulsando manualmente para marcar el paso por meta de cada embarcación.
Parece que a los pilotos les gustó lo de que el programa fuera cantando el tiempo restante y las posiciones durante la carrera.
Tambien pueden ver los pilots los tiempos por vueltas para ver cómo ha ido el desarrollo de la carrera. Recordad que dura 30 minutos, y puede pasar de todo.

Tenía entendido que podría haber una segunda prueba del Campeonato de España, incluso escuché que en Pontevedra. ¿Se sabe algo?

Un saludo a todos
#1061982
Gracias a ti pepaque también por tu buen hacer y por ese peazo de equipo que canta tanta información en tiempo real, sin duda un gran invento.
Agradecer también a todos los pilotos que han hecho el enorme esfuerzo de venir, algunos de muy lejos, aportando su valiosa presencia, sin la cual no se hubiese realizado en estos dificiles tiempos.

Novedades dicen que no se vieron, pero yo pude ver alguna como por ejemplo el nuevo motor glow 7,5cc de CMB con esa preciosa culata en azul anodizado, sin duda un gran motor con su aguja de altas independiente este.

Por otro lado tuvimos el gusto de ver un ratito un catamarán electrico bimotor ,de mas de 1m de eslora, volaba a mas de 100km/h hasta que pegó el pedo y se fundió uno de los variadores, entonces salió una nuvecita de humo entre marrón y negro que no molaba nada de nada

El tema de las fotos lo siento, en esta ocasión apenas eché alguna, debido principalmente a por un lado mi participación como piloto en 2 de las 4 categorias y por el otro manejando la zodiak de rescate en las otras 2 categorias restantes. A ver si algún coleguita del norte que partició en el campeonato se digna a colgarlas.

Como curiosidad destacar la currada que se pegó el señor presi haciendo las protecciones de la nueva zodiak que mas bien parecia un blindado flotante con tanta madera jeje. Afortunadamente ninguna lancha impactó contra ella que si no....
#1062175
Pues por lo que se ve la sensacion del campeonato fue la 3,5cc de Emilio Puerto con 65 vueltas (1º con 18 vueltas mas que el 2º)fue la que mas vueltas dió en todo el campeonato, mas que la 7,5cc (el 1º dió 55 vueltas), mas que las 15cc (el 1º dió 55 vueltas) y 35cc (el 1º dió cuarentaitantas).

FELICIDADES EMILIO, YA TIENES OTRO PEPINO!!!!!!
#1062203
Que nadie piense que quiero quitar méritos a ese primer puesto en 3'5cc!!.

Yo no tengo ninguna experiencia en fsr, pero le hecho imaginación y pienso en el lugar de un piloto. (Alguno dirá: desde fuera es muy fácil. Con toda la razón)

Al tener la posibilidad de poder ver los tiempos por cada vuelta en la carrera (ver hojas de cronometraje que he puesto más arriba), se pueden sacar conclusiones:

1º Se trata de una carrera de resistencia, es decir hay que estar el mayor tiempo posible con la embarcación funcionando sin que se pare. Si tenemos un tiempo medio por vuelta de unos 30 segundos, cada minuto parado son dos vueltas que dejamos de dar.

2º Conforme avanza la mañana, el viento era mayor, y se nota que los tiempos por vueltas aumentan. Emilio corrió en 3'5 y en 7'5 con el mimo barco y motor. Los tiempos en la carrera de 7'5 son mayores que en la de 3'5, además de estar parado durante 7 minutos.

Esto junto a lo que quiera ver y analizar cada piloto puede ayudarle al tomar decisiones en los ajustes, estrategias, etc.

Fijaros que si se hacen entrenamientos con cronometraje funcionando, los pilotos pueden analizar el comportamiento de sus embarcaciones.

¿Haremos algún día entrenamientos para definir la posición en el pantalán?. Ya sería la leche
#1062988
hola a todos es la primera vez que escribo,el motivo principal es deciros que colgaremos las fotos muy pronto y por
supuesto compartir con vosotros que ya tengo ganas de otra carrera.
sin mas por el momento y dando las gracias a los culpables de estos fines de semana que se hacen tan cortos.
saludos,besos o abrazos,cada cual que escoja.
paco
santander naval rc

¡Elija que Addons deben funcionar, utilice sólo lo que realmente necesita!