miliamperios.com

Bootstrap Framework 3.3.6

Más de una docena de componentes reutilizables construidos para proporcionar iconografía, menús desplegables, grupos de entrada, navegación, alertas, y mucho más ...

Fundado el 13 de abril del 2014.
Sitio donde exponer proyectos desde frames personalizados o en kit.

Moderador: Moderadores

Avatar de Usuario
Por jjoosseemmii
#1014581
Muy buenas,

Bueno, pues como dice el asunto mi reto es construir y hacer volar un Bicóptero como el que os pongo aquí debajo paso a paso e ir contarlo aquí. Mas o menos por tamaño y apariencia se parecerá a esto
Imagen

Que yo haya visto en internet solo hay una empresa, canadiense, que comercializa aparatos como este. Se llama Gress Aeronautic
http://www.gressaero.com/

Creo justo nombrarlos por haberme animado viendo vídeos suyos.

Tengo casi la lista de la compra hecha en hobby king y en nada me pondré con la estructura. Nunca he hecho nada construido pro mi mismo para aeromodelismo y cuento con una dremel y poco mas, pero con imaginación yo creo que saldré adelante!!! 8)

La idea de este post no solo es mostrar mis avances para quien se anime o le interese el asunto, sino también que opinéis y deis vuestras ideas en muchas cosas que seguro yo tropiezo.

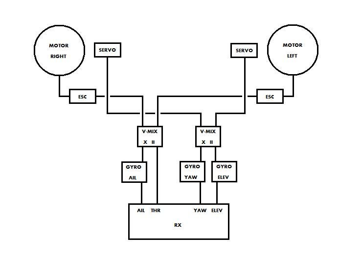
Para empezar mi primera gran duda ha sido el sistema de estabilización y mezclado. No hay mucha información al respecto por lo que dándole a la cabeza estoy yo diseñando el mio propio.
Básicamente lo primordial es que estos aparatos son incontrolables para ser pilotados "a mano", por lo que se hace imprescindible una estabilización en los 3 ejes mediante 3 giroscopos. Seguramente el uso de altímetros, acelerómetros y demás, como se hace en muchos "quadricopteros", ayudaría, pero yo creo que si un tricoptero vuela estable sin ellos éste también lo hará!

Una vez se ha estabilizado el mando en alabeo, cabeceo y guiñada mediante 3 gyros puestos ortogonalmente es necesario realizar varias mezclas de canales para administrar los dos servos y dos motores con los que contará el aeromodelo. En la siguiente imagén se muestra un resumen
Imagen

Para esta mezcla me veía sin otra salida que el uso de electrónica programable tipo arduino de la que, aunque estoy documentandome. estoy muy pez. Seguramente acabaré haciendo uso de ella pero el otro día con la almohada tuve una idea feliz: ¿Por que no usar unos mezcladores de "colas en V", "flaperone"s o "elevones" como se usa en muchos aviones que no disponenen de una emisora con dichas configuraciones??? Yo creo que daría resultado dado que como se ve en la imagen básicamente hay que "sumar/restar" las señales de gas y alabeo (después del gyro, claro), saliendo a los ESCs de los dos motores, y las de cabeceo y guiñada (después del gyro también) con salida a los dos servos que actúan sobre la inclinación de cada motor.

Me gustaría que me dijeseis los que entiendan lo que pretendo hacer, si lo veis viable o no, nunca he usado este tipo de mezclador y no sé que problemas puedo encontrarme. Algo he leído sobre que a veces los gyros meten un pequeño retraso en la señal que hacen que no funcionen al estar solapada con la otra que llega sin gyro, por ejemplo. En cualquier caso he visto estos que cuestan cuatro duros y que algun comentario dice que funcionan con gyros, aunque me temo que el mayor problema será la velocidad de reacción, que la necesitaré muy alta y puede que estos aparatos me la limiten. Pero por su precio los probaré!!!
http://www.hobbycity.com/hobbycity/stor ... oduct=6321
Los hay mas caros y seguramente mejores, pero se comentan problemas con gyros....

Bueno, no quiero asustaros mas. Por ahora es suficiente...

Espero vuestras opiniones, no os cortéis!!
Avatar de Usuario
Por jjoosseemmii
#1017765
Hola de nuevo, bueno, mientras termino de definir la parte estructural y espero a que estén en stock algunas cosas que quiero comprar voy dando mas detallitos:

Curiosamente me llamó la atención que el eje sobre le que pivotan los motores está inclinado 45º respecto al eje lógico que cualquiera pudieramos pensar...
Imagen

¿por que hacer esto? Bueno, a ver si soy capaz de explicarlo:

Este artefacto, o como queráis llamarlo, basa gran parte de su estabilidad en la inercia que le dan sus dos hélices contrarotatorias. Si, aunque suene raro podéis comprobarlo si poneis a girar algo (una rueda de bici cogiendola pro su eje con una mano a cada lado, pro ejemplo), si intentais cambiar la orientación del eje notareis que cuesta hacerlo, cuanto mayor sea la inercia (masa del objeto) y la velocidad de giro de éste mayor costará. Lo cual se traduce en estabilidad al viento, mayor controlabilidad, etc.

Bueno, esto que os he dicho realmente ademas de proporcionar estabilidad se traduce en otro efecto que yo llamaré "momento giroscópico". Realmente los puristas entendidos en física harán referencia al momento de precesión y nutación pero yo no creo que merezca la pena la lección de física en un foro de aeromodelismo...

¿En que consiste este efecto? Muy sencillo. Si miramos la imagen que pongo a continuación se puede ver como ante una masa amarilla girando a una velocidad angular "w" (disculpad que no puedo introducir letras griegas...), si se le cambia la posición haciéndolo girar una magnitud "Y' ", esta masa reacciona generando un momento angular "My" como el que muestra la figura, que en este caso hará tender mi bicóptero a cabecear bajando el morro y levantando la cola o viceversa al gusto del piloto en el mismo instante que nuestro servo haga inclinar el eje de giro de los motores, y por tanto de las hélices.

Aunque es complejo de entender es la base del control de este aparato y quería explicarla al menos una vez.

Debido a que los motores se inclinan a 45º respecto a su eje longitudinal, éstos en vez de moverse solo hacia delante o atrás también tendrán una componente que lo hará hacia dentro o afuera. Provocando el efecto descrito en la imagen. Por ejemplo, si quiero avanzar, mis servos moverán los dos motores hacia delante y hacia fuera. El movimiento hacia delante no generará ningún "momento giroscópico" por ser anulado el efecto de un motor con el del otro, mientras que el que los dos motores al abrirse hará un efecto sumado de provocar un momento o fuerza que tiende a inclinar el bicóptero hacia delante, que es lo que nos interesa. Si el efecto es el contrario al deseado es tan sencillo como cambiar las hélices y hacer que los motores giren en sentido contrario (cambiar dos cualquiera de los 3 cables que lleva un motor brushless).

Para atrás sería lo mismo, solo que los motores se inclinan hacia dentro y hacia atrás.

Para el control de la guiñada el efecto giroscópico creo que también ayuda, aunque el primario será el de las fuerzas de empuje de las hélices.. Solo que en este caso los motores hacen movimientos opuestos.

Bueno, por ahora creo que ya lo he introducido bien, ahora toca ponerse al tajo!!! En la pagina de http://www.gressaero.com/ se pueden ver vídeos de los bicópteros que comercializan.

Un saludo y acepto sugerencias!
Adjuntos
Snap1.jpg
Snap1.jpg (6.22 KiB) Visto 8908 veces
Avatar de Usuario
Por novenadisl
#1018745
esta muy curao pero un poco complicado.
suerte com el bicho.
un saludo.
Avatar de Usuario
Por jjoosseemmii
#1020002
fret escribió:Este artilugio en la aviación comercial se llama V-22 Osprey.

http://www.military-today.com/helicopte ... osprey.htm

Y los hay en rc.

http://www.aviationtrivia.info/Boeing-B ... Osprey.php

Espero encuentres información al respecto,y que tengas suerte con el proyecto.

Saludos.
Muchas gracias Fret y novenadisl,

Realmente el caso real que pones es un "convertible", que presenta una complejidad extra, ya que puede despegar como un Vtol y una vez a altura suficiente empieza a girar los motores con sus helices hacia delante y a coger velocidad y volar como un avión, con sus hélices delante solo propulsando, sin sustentar, de ahi que tenga ala y todo.

Si te fijas las versiones de RC q tratan de imitarle casi todas acaban por usar rotores de helicóptero, con su propio control de cabeceo y balance, o algunos rotores coaxiales tipo lama siendo solo de 3 canales. Creo que controlarlo solo con dos hélices q se mueven alante y atrás es casi imposible... Por eso me enganché a este artefacto por ser bastante novedoso en cuanto a la manera de controlarse, y si habéis visto los vídeos se ve muy estable.

Ya tengo bastante claro el diseño, a ver si encuentro los materiales que necesito y me pongo manos a la obra.

Saludos
Avatar de Usuario
Por fret
#1020556
Suerte con el proyecto,y no te olvides de poner los avances :mrgreen:

Saludos.
Avatar de Usuario
Por jjoosseemmii
#1024763
Muy buenas,

Bueno, ya va la cosa en serio. Mi pedido de electrónica y demás ya esta de camino y ya llevo avances "importantes" en la construcción.

Os pongo las cosas que he comprado en esa famosa tienda de aeromodelismo de Hong Kong conocida por todos...
  • 2x #HXM2730-1300/2069 hexTronik 24gram Brushless Outrunner 1300kv = $15.98
    2x #TR_P12A-E/2161 TURNIGY Plush 12amp (2A BEC) BESC = $19.56
    2x #TR-V-tail /6321 TURNIGY V-Tail Mixer. Ultra-small = $5.90
    3x #HK401B/10113 Hobby King 401B AVCS Digital Head Lock Gyro = $35.97
    1x #T2200.3S.20/8932 Turnigy 2200mAh 3S 20C Lipo Pack = $8.49
    1x #ORNG8F/143 00 OrangeRx Futaba FASST Compatible 8Ch 2.4Ghz Receiver = $29.99
    1x #GWPRO002S3D/5247 GWS HD8040 3 Blade Prop (2pc pack) = $2.69
    1x #GWPRR002S3D/5249 GWS HD8040 3 Blade Prop Counter Rotate (2pc) = $2.69
    2x #BU14A707-06/9648 Turnigy Pure-Silicone Wire 14AWG (1mtr - 69A) BLUE = $2.58
    1x #AM2001-20x10/9706 20CM Servo Lead (Futaba) 32AWG Ultra Light (10pcs/set) = $1.89
    2x #ST-FOAM-DB/8999 Peel-n-stick foam tape. 10x5inch 4mm thick = $2.78
    1x #HK5024/9535 HK-T500 Landing Skid = $3.59
Como podéis ver voy a usar un patín de aterrizaje de un heli tamaño 500, así aunq le quede un poco grande tiene mas estabilidad al tomar tierra... :roll:

La estructura ya la veréis en fotos, pero básicamente compré un tubo de aluminio cuadrado de 2 cm de lado y 1mm de espesor de chapa. También voy a utilizar un perfil en L de 1 cm y una pletina de aluminio de 2 cm de ancho y 2 mm de espesor.

En cuanto tenga un hueco le hago unas fotos a lo primero que he hecho.

Saludos!!!
Avatar de Usuario
Por Manolo Marcos
#1024765
Buah... para mí, que estoy empezando, esto me deja :oops: .
Sólo te deseo suerte para que funcione bien, después de todos los esfuerzos...
Seguiré tus avances y no me perderé el primer video.
Ánimo.
Avatar de Usuario
Por jjoosseemmii
#1025023
Bueno, aqui van las primeras fotos del montaje. He empezado por el tubo cuadrado donde irán los dos motores. La plataforma inclinable donde irán los motores era lo que mas me preocupaba como hacer, pero al final se ha solucionado fácilmente. Pensaba poner un eje con rodamientos y todo eso, pero al ver que con un simple tornillo y los agujeros a medida gira libremente y sin holguras lo voy a dejar así:
Adjuntos
IMG_2897.JPG
IMG_2898.JPG
IMG_2899.JPG
IMG_2900.JPG
IMG_2901.JPG
Avatar de Usuario
Por jjoosseemmii
#1029348
bueno, que de tanto currar en el aparato tengo esto desactualizado.

La semana pasada me llegó la electrónica que estaba esperando (podeis ver una foto) y me puse manos a la obra,

Terminé de construir la estructura, a falta de hacerme un estabilizador horizontal de "poliespam" o similar lo mas ligero posible, hasta q no haya vuelo de avance no lo necesito.... jeje

Al final como podeis ver el aparato con toda la electrónica y sin batería pasa de 500 g por poco. Mi intención era q rondase los 400-450 g así q va un poco pesado, pero para seguir avanzando me sirve de sobra. Eso si, es super rígido...

Resulta que el receptor compatible con Futaba 2.4 Ghz que compré (el naranjita ese q se ve) funciona pero los gyros clon del Futaba 401 no funcionan con él y he tenido que seguir con las pruebas con el recepetor Futaba original que tengo montado en el copterX hasta ver si puedo solucionarlo.

Una vez ajustada al emisora para que todo se mueva hacia donde tiene que moverse ayer mismo ya empecé las primeras pruebas poniendo los gyros. Está claro que esto no iba llegar y besar el santo, hay que ajustar y trastear con la ganancia de los gyros para que no me vaya a tirones. El problema es que estos gyros las ganancia la llevan desde el canal 5 de la emisora y solo tengo un canal 5 y 3 gyros, y no creo q los 3 utilicen la misma ganancia.... Si alguien sabe como controlar este parámetro sin necesidad de emisora que me lo diga, por favor.

EL otro problema que me esta surgiendo es que las "bisagras" donde se inclinan los motores al no llevar rodamientos ni nada están empezando a tener holguras debido al desgaste, está claro que las tengo que hacer mejores con su buen eje y rodamientos. Estoy pensando ya en como hacerlo...
Como veis uso unas hélices de dos palas, q por cierto venían desequilibradísimas, a la espera de ajustar todo bien y poner las tripalas que seguro le van mejor, pero que no quiero romper en una prueba.

Bueno, como una imagen vale mas que mil palabras aquí os dejo unas cuentas.

Saludos!!!
Adjuntos
resized_IMG_2903.jpg
La compra, Falta un gyro que ya tenía de antes
resized_IMG_2906.jpg
Estructura con un tren de un heli tamaño 500
resized_IMG_2910.jpg
resized_IMG_2909.jpg
resized_IMG_2915.jpg
resized_IMG_2919.jpg
resized_IMG_2921.jpg
He usado cable de servo para unir ESC a motor ya que es de una sección superior que la de estos.
resized_IMG_2922.jpg
resized_IMG_2923.jpg
Un pequeño tupper hará de protector para recepetor, gyros y mezcladores. jeje
resized_IMG_2925.jpg
resized_IMG_2926.jpg
Avatar de Usuario
Por jjoosseemmii
#1030922
Bueno la cosa va lanzada, lastima el sobre peso que no le permite levantar nada mas que unos centimetros del suelo y deslizarse como una culebra.
Pero ya he conseguido poner las ganancias de lso Gyros a punto, para que no vibre como un loco y tenga la mayor estabilidad posible (mas o menos con una ganancia del 30 lo tengo, mientras qu ene mi CopterX la cola lo consigue con un 43 de ganancia... para que os hagais una idea)

Ya tengo unos perfiles mas pequeños para conseguir reducir el peso lo maximo posible, a ver si puedo dejarlo en 400 gr con la electrónica montada y sin batería.
Además hoy mismo he comprado los motores que quería la otra vez pero estaban agotados y unas helices tripala mas grandes 9x4.

Además ya tengo ideada la forma de poner los ejes de inclinación de los motores con rodamientos.

Bueno, ya iré contando.

Saludos!
Avatar de Usuario
Por mezanu
#1031533
Me sumo a este interesante post y te felicito por este proyecto, la verdad es que es muy cautivador.

Animo!!!

Saludos.
Avatar de Usuario
Por jjoosseemmii
#1031715
Gracias a todos los que habeis comentado por el interes.

A ver si en breve puede estar el primer video volando.

Saludos!!!
Por depakinem
#1033523
Hola,otro q se suma a este magnifico post,me has animado y todo y creo q me voy a armar uno,eso si,con tu consentimiento y un poquito de ayuda.Por cierto,Enhorabuena,te esta quedando genial.
Avatar de Usuario
Por rAsPu
#1033535
Yo no voy a armarme ninguno, pero ahora estoy impaciente por ver tus resultados!
El proyecto es una pasada, por su sencillez en los materiales (y no tanto en el cálculo de vuelo)
A ver si con los motorcillos y hélices nuevos tira, y si no habra que aligerar el bicho... >< Hazte estructura de depron con varillas de carbono... cuándo caiga morirá... pero podrás hacerte otro en nada... =D xD

Bueno, muchísima suerte y esperamos esos avances! =)
Avatar de Usuario
Por Xesquy
#1033845
Me encanta tu proyecto y viendo lo bien que vas explicando cada paso voy a animarme ha hacer uno asi que seguire este post, gracias por tu esfuerzo.
Avatar de Usuario
Por jjoosseemmii
#1034077
Muchas gracias a todos por los ánimos.

Después de unas semanas sin sacar tiempo para avanzar a ver si esta ando mejor.

A la espera de que lleguen los motores y helices de mas empuje creo que voy a hacer otra estructura mas ligera y con ejes de inclinación de los motores con rodamientos.

Lo que dice raspu de depron y varillas de carbono estaría genial pero no sé muy bien donde comprarlo. Ahora necesitaría un "tocho" de plástico o madera maciza al que poder quitar material para poner los rodamientos que comentaba y los servos y no sé de donde sacarlo... Si es que se nota que es mi primer contacto con lo de construirse las cosas uno mismo.... jeje

Bueno, para los que os animais a hacerlo todo lo q pueda ayudaros encantado, preguntar todo lo que se os ocurra.
Para empezar voy a organizar un poco la electrónica que he comprado y que creo puede ir mejor a este aparato para que si queréis la pilléis.

Motores: 2 x http://www.hobbyking.com/hobbyking/stor ... oduct=5354
Hélices: http://www.hobbyking.com/hobbyking/stor ... oduct=5248
y http://www.hobbyking.com/hobbyking/stor ... oduct=5250
Adaptadores helices: 2 x http://www.hobbyking.com/hobbyking/stor ... oduct=8722
Variadores: 2 x http://www.hobbyking.com/hobbyking/stor ... oduct=2161
Mezcladores: 2 x http://www.hobbyking.com/hobbyking/stor ... oduct=6321
Giros: 2 x http://www.hobbyking.com/hobbyking/stor ... duct=10113
y 1 x http://www.hobbyking.com/hobbyking/stor ... oduct=8471
Tren aterrizaje: http://www.hobbyking.com/hobbyking/stor ... oduct=9535

Y resto de material como extensores de servos, cable para alargar entre ESCs y motores, tornillería, etc.

No pongo los mismos gyros ya que necesito que que al menos uno se pueda regular su ganancia manualmente, ya que mi emisora es de 6 canales y solo me sobran dos (tren y flaps) para controlar dos ganancias, la de los HK401. La del turnigy (realmente el mio es telebee pero creo q son iguales) a mano. Ya las bajé para consiguir que no se ponga a vibrar como hacen los helis cuando tienen ganancias muy altas y sale la famosa "cola de pez".

Bueno, espero avanzar rápido. Y si se os ocurre cualquier cosa decirla que, como novato en estas artes, lo agradeceré....

Saludos
Avatar de Usuario
Por cayesa
#1034214
Hola a todos:
Estoy a medias en el desarrollo de un proyecto de bi-coptero con una placa controladora basada en Arduino-wii. El hecho es que tras las primeras pruebas no conseguí que levantara del suelo y creo que el problema era que las dos hélices estaban en un mismo plano y no formando un ángulo. El soporte de los motores lo hice con rodamientos desde un chasis central con dos perfiles redondos de aluminio. Viendo las explicaciones dadas en este hilo voy a modificar los soportes, pero ahora la duda que se me plantea es si inclino todo el brazo o solo el soporte del motor.
Un saludo
Avatar de Usuario
Por jjoosseemmii
#1034221
Muy buenas cayesa,

Tienes fotillos de tu proyecto?
Si ves las imagenes lo que le hace a este aparato mas estable y controlable es que los motores no se inclinan como la logica haría, si no que a 45 grados, haciendo que lso motores al echarse hacia delanta tambien se abran hacia afuera. De esta manera haces uso del momento giroscopico que tiene las helices al girar para controlar tu aparato, no solo con la resultante de fuerzas del empuje de las hélices.
Aqui se puede ver un video de como se puede casi controlar la actitud del aparato poniendo dos discos de vinilo en vez de helices y colgandolo de un hilo. Este concepto se usa a veces en satelites y vehículos espaciales para controlar su orientación.
http://www.youtube.com/watch?v=TrHDFdOenXQ

Cuantos mas datos des de tu proyecto mejor, que de todo se aprende!!!

Saludos
Avatar de Usuario
Por cayesa
#1034233
Lo que tengo es un vídeo de uno de los primeros intentos de vuelo.

http://www.youtube.com/watch?v=RQjV5vAMokY

Tengo el proyecto un poco abandonado, pero veo que el tema de los bi-copteros empieza a animarse y creo que voy a retomarlo ya que hasta hace unos meses, ni existian. Ahora en RCGroups hay un par de personas interesadas. A ver si entre todos avanzamos.
Avatar de Usuario
Por jjoosseemmii
#1034359
Que nivel cayesa!!! hasta que alcance yo esos metodos de construcción no queda ni nada...

Varias cosillas que se me ocurren:
veo que los dos motores giran en el mismo sentido, eso hará que el bicoptero siempre tienda a guiñar hacia un lado, y tendrás que equilibrarlo inclinando motores (uno hacia delante y otro hacia detrás), con lo que hasta un simple vuelo parado en el aire será con el aparato desequilibrado y mas difícil de controlar.
Yo compré unas helices tripala que venden las iguales contrarotatorias que van muy bien, y unas bipala que estaban muy desequilibradas pero que con un poco de paciencia conseguí que no vibren casi. Para que el motor gire en el otro sentido como sabrás con cambiar dos de los 3 cables que vienen del variador lo consigues.

También parece que vibra mucho cuando le das caña, un equilibrado de palas le vendría bien, si no las que puse yo tripala en un mensaje anterior de HK van muy bien.

Saludos!!
Avatar de Usuario
Por cayesa
#1034383
El problema que tengo con la tripala con esos motores es que solo se pueden enganchar con goma u las tripala hacen de mal cojer con goma. Estoy esperando unas bipala de 8' a ver que tal. Lo del cambio de sentido del motor lo tengo claro.
Avatar de Usuario
Por jjoosseemmii
#1034426
Estas tripalas que he comprado yo y que aun no quiero usar en las pruebas por no romper, vienen para adaptadores de hélice.
Hélices: http://www.hobbyking.com/hobbyking/stor ... oduct=5248
y http://www.hobbyking.com/hobbyking/stor ... oduct=5250

Bueno, aqui va un video con los primeros intentos que hice, le sobra peso o le falta mas empuje en los motores, en nada ya no será problema eso... y aparecerán otros...
http://www.youtube.com/watch?v=kL1CfQaHojI

Saludos
Avatar de Usuario
Por cayesa
#1034559
No lo comento por el diámetro interno de las palas, sinó que los motores que tengo que solo puede usarse el salva-hélices para unir la pala al motor y las de 3 palas haces de mal unir ya que no son simétricas. Lo que ahora me tiene intrigado es el angulo que debe tener el punto de pivotación de los motores respecto al eje del motor y el plano los sensores, ya que en tu video he visto que el vector de pivotación del motor respecto al eje X no es perpendicular.
Avatar de Usuario
Por jjoosseemmii
#1034575
Extacto, no es perpendicular, como dije forma 45 grados y así se consigue un vuelo mas estable como se puede ver en los videos de gress aero.
Haciendo, pro ejemplo, que cuando quieres inclinar hacia delante las dos helices se "abran" hacia afuera tambien consigues tener un momento giroscopico resultante que tiende a inclinar las helices hacia delante, de esta forma consigues que estas se pongan de la manera perfecta directamente. Es dificil de comrpender y poco intuitivo pero la física a veces es asín...

Si quieres un poco mas de info leete esto en inglés que sin entrar en ecuaciones hace un poco la explicación de porque hacerlo así
http://www.gressaero.com/kowourmowo.html

Ah, de todo esto que haya que tener especial cuidado en el giro de cada helice. Mirando desde atras y arriba, la de la derecha en sentido antihorario, y la izquierda en sentido horario, vamos que las palas que avanzan son las situadas mas en los extremos.

Saludos
Avatar de Usuario
Por Xesquy
#1034794
La idea del arduino es muy buena para despues meterle estabilizadores, si no te importa prodrias subir el codigo de arduino y asi podemos probar haber que tal va.

¡Elija que Addons deben funcionar, utilice sólo lo que realmente necesita!