miliamperios.com

Bootstrap Framework 3.3.6

Más de una docena de componentes reutilizables construidos para proporcionar iconografía, menús desplegables, grupos de entrada, navegación, alertas, y mucho más ...

Fundado el 23 de Junio de 2006. Todo sobre Química, Física, Aerodinámica, Electromecánica, Fundamentos del diseño de aeromodelos, formulas y teoremas...

Moderador: Moderadores

Avatar de Usuario
Por Sr. Montesa
#989918
Hola, me gustaria plantear la siguiente cuestion que me a aparecido este fin de semana. ¿Cual es la formula para calcular la resistencia del ala de nuestros aviones para que estén dentro del margen de seguridad?. Me explico, un a avión aguanta una fuerza positiva o negativa, que se suele medir como aceleracion (gravedad o g's), si el avion sufre una fuerza mayor a su aguante entonces las alas se rompen en vuelo.
He experimentado poniendo las puntas de las alas sobre banquetas, y he ido añadiendo peso en el centro del ala (donde se coloca el fuselaje). El ala se comba al ir aumentando la fuerza (el peso) hasta que se rompe o deforma gravemente. El peso simularia la aceleracion de la que hablo y he llegado hasta unos 5g (5 veces el peso del fuselaje 13,8Kg), he parado decepcionado por que ya veía la cosa mal.
¿Alguien sabe cuantos g's deben aguantar nuestros modelos para que sean seguros? Me supongo que la respuesta no es sencilla, depende de la velocidad y brusquedad de las maniobras, por eso me refiero al peor de los casos, un modelo acrobatico rapido.

Un saludo y gracias.
Avatar de Usuario
Por Eduardo Nuñez
#990027
Eso depende de muchos más factores.

Para empezar no vale con poner dos sillas en las puntas de las alas, ya que la sustentación no se concentra sólo en las puntas de las alas, sino que se reparte por la superficie del ala.

Si el ala fuera homogénea, sin servos ni baterías y no hubiera fuselaje no habría momento de flexión puesto que se estaría sustentando a sí mísma, por tanto, el momento de flexión lo provoca todo lo que no es ala (fuselaje, estabilizadores, batería, motor, etc...)

Los G´s, como dices, dependen de la velocidad y el radio de giro, pero ¿de qué depende el radio mínimo de giro? Depende de la sustentacióm máxima del perfil, que sería la fuerza centrípeta.

Para que el ala no parta, el momento de flexión no puede superar a la resistencia del larguero o bayoneta central, que es el punto en donde es máximo.

La resistencia del larguero depende del material de que esté hecho, madera, fibra, metal, de su grosor y de su separación, ya que normalmente se usa un tubo con un diámetro y una pared o bien un larguero en doble T, de modo que la separación, que es la que de la resistencia, depende a su vez del espesor que tenga el perfil.

Tampoco hay que olvidarse de la velocidad máxima a la que volará el avión.

Es un problema de cálculo de estructuras.

Lo mejor, para que no te compliques y te veas en callejones sin salida, como que te falten datos de las resistencias de los materiales con los que vayas a contruir, es que uses el mismo método de construcción de un avión similar y con características de vuelo similares.
Avatar de Usuario
Por Sr. Montesa
#990042
Hola Eduardo, gracias por responder tan rapido y claramente. Estoy deacuerdo con todo lo que comentas y ya he tenido en cuenta que la sustentacion no solo aparece en las puntas de las alas, pero en mi experimento me intento poner el el caso extremo (el peor de los casos). Tambien cuento como fuselaje todo lo que este comprende, el motor, deposito, empenaje etc (todo menos lo que está en las alas, por ejemplo en mi caso las ruedas estan en las alas).
Como bien dices existen infinidad de factores, pero supongo que podria existir una tabla que diese los valores de G que estan en el margen de seguridad para el caso de nuestros aviones, en funcion del tipo de avion/velocidad/peso o los factores mas influyentes. Me refiero a que un caza de combate aguanta unos 9 G's positivos y muy poquitos negativos (¿3?) y mas no por que el que lo pilota se puede morir del mareo. Digo que he acabado decepcionado por que mis alas solo aguantan 5 veces el peso del fuselaje+motor+baterias+empenaje+etc mientras que esperaba por lo menos 7g's. Concretamente estoy haciendo una maqueta de BF 109 con un peso de 3kg fuselaje con todo y 2Kg alas y lo que me gustaria es conocer un metodo experimental que a base de cargar peso en las alas determine cuanto puedo hacer el bruto con el avion en el aire. Dicho simplemente, cuantos G's debe aguantar un avion como los nuestros.
Las alas ya las he reforzado en el punto donde empeza a notar fallo, dos tiras de fibra de vidrio de 4cm de ancho, desde el borde de ataque al de fuga, cerca de la raiz y de forma simetrica por que si falla la parte derecha del ala, la izq seguro que no tardaria.

Bueno, en resumen, que me enrollo un monton, mi objetivo final es dar con la construccion de un ala robusta, ligera, barata y facil de construir (total nada), todos los puntos los puedo medir facilmente (Kg, euros y horas), salvo la resistencia necesaria, por eso necesito una tabla, una formula, ecuacion o los G's que alcanzan nuestros aparatos, en fin, algo para saber si puedo quitar peso o tengo que añadir resistencia, no se si al final me explico.

Sorry por el toston, y Eduardo, muy agradecido por tus sabios comentarios.

Un saludo.
Adjuntos
Deformacion Ala.JPG
Por Mariano477
#990057
Hola,

"Lo mejor, para que no te compliques y te veas en callejones sin salida, como que te falten datos de las resistencias de los materiales con los que vayas a contruir, es que uses el mismo método de construcción de un avión similar y con características de vuelo similares."

Totalmente de acuerdo con esto. Sobre todo porque la resistencia del material que vas a utilizar pude variar notablemente de los valores que encuentres en tablas.

Mi estimación:
Suponiendo: velocidad: 100 km/h; radio de giro: 10 m (no creo que se pueda hacer un giro más cerrado)
G: 7,71

Fotos de pruebas:
http://www.pacificaerosport.com/images/ ... -26-06.JPG

http://www.homebuiltairplanes.com/forum ... sting.html
Última edición por Mariano477 el Lun, 25 Oct 2010 19:07, editado 1 vez en total.
Avatar de Usuario
Por sukoi
#990066
Sr Montesa, apuntillando lo que te comenta Mariano477, en un giro de 7G's , lo que puedes provocar tambien es una entrada en perdida del ala en alta velocidad ( que no tenga sustentacion suficiente para mantener la maniobra , en tu caso seria como que en vuelo nivelado el avion pudiera con una carga de 35 Kg .... ya tendrias que construir pesadito :mrgreen: :mrgreen: :mrgreen: )

como dicen el el post citado anteriormente, la distrubucion de la carga no es lineal en todo el ala, lei en RCM&E hace mucho tiempo un articulo que se preguntaba lo mismo, comparando varios de costrucciones desde la tradicional de costillitas a la de foam laminado en fibra para veleros, y para compararlas, sujetaba el ala por la raiz montandola con las bayonetas a un tipo de soporte en posicion invertida e iba cargandole peso con bolsas llenas de arena ( pueden ser calcetines, pero no los tuyos o los de la parienta, que se puede cabrear :mrgreen: :mrgreen: :mrgreen: ) con una distribucion casi parabolica ( mucho mas peso cerca de el encastre del ala y menios en las puntas ) y midiendo la deflexion de las puntas del ala con cada pesada, en ese test le salia que un ala de costruccion tradicional ( costillas balsa, largueros de pino, enchapado de 1/3 del borde ataque en balsa ) comparativamente le resultaba mas rigida ( que tenia menor deflexion para una misma carga) pero fallaba ( rompia) en un menor margen que las de foam y fibra.

creo que si el modelo te soporta de 3G a4G vas de sobra para un vuelo normal , o un poco 'alocado' similar al modelo real ( acribillar a todo P51 que asome el morro por la campa :mrgreen: ), ten en cuenta tambien que los mandos/superficies alares/diseño en general, al ser un modelo a escala tampoco te van a rendir como un autentido 3D :roll:

saludos
Avatar de Usuario
Por Eduardo Nuñez
#990147
Esto es un caso extremo

En veleros de F5B con virajes de esta guisa http://www.youtube.com/watch?v=2uhSv1rYB7s he leido que se alcanzan los 20G´s. Para evitar la entrada en pérdida, se usa la mezcla elevador-flaps, bajan éstos cuando se tira del elevador en el viraje para aumentar la sustentación del ala.

Una cosa es calcular los G´s y otra la estructura que los soporte.

En aviones acrobáticos de baja relación de aspecto, funcionan muy bien las costillas y listones de pino de sección suficiente, con sus refuerzos entre los largueros, para que forme una estructura.

En los veleros F3B, F5B, etc, se recurre a las mechas de carbono unidireccional, de diferente longitud, de modo que en el centro del ala, el número es máximo y "se van quedando por el camino" conforme se acerca el marginal del ala, llegando sólo una o dos, ya que en esa zona el momento de flexión es mínimo.

Por tanto, en un velero, ni tiene sentido, ni se debe sujetarlo de las puntas para verificar el CG.

Respecto al gráfico del ala, para que se produzca esa compresión, ha tenido que haber en la otra cara del ala una mala resistencia a la tensión, de modo que el ala se ha estirado y por eso ha permitido que se haya comprimido por el otro.
Avatar de Usuario
Por Sr. Montesa
#990272
Buenos dias, gracias por todas las contribuciones, ahora por lo menos ya tengo algún número que me sirve de pista o referencia. Concretamente estoy probando unas alas de foam, esta es la primera vez que van sin listones de refuerzo, solo tiras de fibra de vidrio a lo largo del ala y entelado en fibra. El resultado, la fibra aguanta el extiramiento lo que haga falta, pero la compresión lo lleva peor de lo que yo imaginaba. Supongo que una opcion mejor es combinar liston de madera en la zona de la raiz (buena resistencia a la compresion), hasta 1/3 del ala y solo entelado en fibra (buen aguante al estiramiento) o para alas mas ligeras solo un par de tiras de fibra y andando.
Sin duda los experimento los haré como señalais, poniendo pesos decrecientes hacia los marginales, y a ver que pasa. Ya por lo menos tengo una idea de que carga debo poner para saber que me encuentro en la zona segura (7 Gs parecen mas que razonables por vuestros comentarios, por lo que si me quedo en 5-6 y no hago picados a 500Km/h no creo que necesite mas jejeje).
Gracias por compartir vuestros enormes y valiosos conocimientos.
Avatar de Usuario
Por juan jose boullosa
#990928
Eduardo Nuñez escribió:Eso depende de muchos más factores.


Si el ala fuera homogénea, sin servos ni baterías y no hubiera fuselaje no habría momento de flexión puesto que se estaría sustentando a sí mísma, por tanto, el momento de flexión lo provoca todo lo que no es ala (fuselaje, estabilizadores, batería, motor, etc...)

Los G´s, como dices, dependen de la velocidad y el radio de giro, pero ¿de qué depende el radio mínimo de giro? Depende de la sustentacióm máxima del perfil, que sería la fuerza centrípeta.

Para que el ala no parta, el momento de flexión no puede superar a la resistencia del larguero o bayoneta central, que es el punto en donde es máximo.
Despues de leer esto estube dandole vueltas, no habia caido en esto, si solo fuera ala no habria flexion del ala (en el eje del alargamiento del ala) , luego el peso (muerto) es el que nos provoca la flexion del ala...... :roll:

entonces este peso ( pongamos 700 g)con la velocidad de los 7G ( creo unos 70 m/s2) haciendo un giro de unos 20m de diametro , la fuerza que genera es la que cae sobre los 2 tornillos que sujeta el ala?, :shock:


En la estructura como decis la parte superior en vuelo funciona acompresion y la inferior a traccion, si el espacio que hay entre ambas se deforma....malo rotura del ala, luego parte de la estructura la reforzamos con las maderitas con veta vertical pegadas sobre los listones, en alas en porex este hace este esfuerzo, en alas huecas el verdadero corazon es el largero de carbono con perfin supongo de seccion cuadrada , redonda o rectangular.


un saludo
Avatar de Usuario
Por juan jose boullosa
#990930
Estaria bien estos calculos , para masa 700 gm; veloAngu w=50m/s2(180 km/h) ; radio de giro 20 m

F=mw2R= 0.750kgm* (50 m/s)2 *20 m=37500 N= 3823 kg-f mas o menos

si tenemos una superficie de 36.000cm2 de ala (son envergadura) nos da 107 gm/cm2 ; 107 kg/dm2

pongo esto sin saber si esta bien , ya no me acuerdo de estos temas de fisica , pero es mucha fuerza en esos tornillos , no :?

un saludo
Avatar de Usuario
Por Sr. Montesa
#991004
Hola Juan gracias por participar en la discusion. Respecto a la cuestion de un ala sin fuselaje (ala volante) la primera apreciacion sería correcta, si el ala es homogena en peso y en superficie, entonces no tendria por que flexionar en caso de volar en linea recta o hacer un rizo positivo o negativo. Las fuerzas serian proporcionalmente iguales siempre en toda la longitud del ala.
La realidad es ligeramente diferente, puesto que el peso del ala se concentra en el centro (el motor es lo que mas pesa, junto con baterias y demas). Ademas la sustentacion tampoco es uniforme, es mayor en el centro que en los marginales, por que existe mayor superficie alar al ser alas de tipo triangulo o flecha. Sin embargo creo que no es mala aproximacion considerar un ala volante apenas presenta el problema de la flexion.

En segundo lugar, respecto a los calculos. Creo que es poco exagerado pensar que una masa de 0,7 kg - 1 kg necesite o llegue volar a 180Km/h tratandose de un avion de RC corriente. Me parece mucha velocidad. Supongo que dejandolo en la mitad sería mas razonable unos 90 -100 km/h para un avion en un picado de pocos metros y con el motor alegre, por que si tus calculos son correctos los tornillos soportarian menos la mitad de lo que dices. Por otro lado, ademas, no solo tienes un tornillo, tienes dos, por lo que el esfuerzo supongo que se repartirá a mitades iguales (vuelve a dividir por dos).

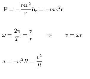
He revisado tus calculos y la formula de fuerza/aceleracion angular y creo que te has "colao" y por eso te da un numero tan grande.

Concretamente, creo que has multiplicado un 20 cuando habia que dividir. La velocidad angular es w=v/r. Te paso mis resultados, que podrian ser erroneos pero me parecen mas logicos.


Como resumen de lo aprendido con las formulas podemos observar que para esa velocidad y maniobra:
1. La fuerza (los G's) aumentan al cuadrado al aumentar la velocidad.
Para una 1Kg que se mueve a 100km/h tenemos 38,58G
Para una 1Kg que se mueve a 200km/h (el dobble de velocidad) tenemos 154,32G, que es mucho mas del doble.
2. La fuerza (los G's) disminuyen proporcionalmente al radio de giro. Una maniobra que usa el doble de distancia genera la mitad de aceleracion G (fuerza).
3. Un Kg en reposo aumenta hasta multiplicarse por el valor de G en la maniobra. Un Kg pasa a tener una inercia equivalente a 6 Kg si tenemos una aceleracion de 6G's.
4. La aceleracion-fuerza-G's no depende de la masa, solo de la velocidad y el radio de giro.
5. Cada vez entiendo menos, viendo la de G's que me salen en los calculos..... espero que algien me lo aclare, ¿no era del orden de 7Gs lo que tenia que salir?. Solo me salen G's razonables para velocidades bajas y maniobras lentas (50Km/h girando en un radio de 30m).

NOTA: Por cierto, yo no pongo 2 tornillos para agarrar las alas, pongo 6 tirafondos roscados en madera de pino de la gorda. En la version que estoy haciendo, he puesto 6 tornillos de 4mm con mariposa, estoy harto de darle vueltas al destornillador para poner/quitar los tirafondos.

Un saludo.
Adjuntos
Fuerzas Angulares.JPG
Formulas
Fuerzas Angulares.JPG (6.51 KiB) Visto 3340 veces
Ala voladora.JPG
Ala voladora
Tabla Gs.JPG
Tirafondos Alas.JPG
Avatar de Usuario
Por juan jose boullosa
#991030
Hola , mi nivel de fisica es basico , pero me construyo mis aviones y hago los planos, y es un tema que me interesa mucho.
Tengo un pilon de unos 80cm de envergadura y te puedo asegurar que las pasadas a motor parado son cercanas alos 180 hm/h si no mas.
En mi modesta diarrea mental :mrgreen: , pense que los G solo pueden ser valido en una curva, entonces aplique la de la velocidad angular simple, pero creo que mal :oops:
repaso tus notas con tiempo , que las entienda :roll:

la velocidad angular no la calcule puse la velocidad estimada de vuelo, lo que creo me pase fue con el radio de giro, creo que yo no logo giros seguros con menos de 50m de radio, a simple vista claro :?:

un saludo
Avatar de Usuario
Por Sr. Montesa
#991061
Hola Juan.
:lol: :lol: :lol: ya te digo, estás hablando con un experto fisico :lol: :lol: :lol:
Gracias a que te he visto las ecuaciones he tirado de la wikipedia y he aplicado las formulas. Mas o menos tenía una idea de como iba la cosa pero nada mas.

Justo lo que me faltaba eran datos como velocidad de vuelo y radio de giro, cosas que a ojo no se calcular. Las unicas velocidades que conozco son parado, lento, rapido y rapidisimo, pero a 50m/s (180Km/h) te aseguro que nunca he volado, eso supondria atravesar mi campo de vuelo de 70m a 80m de largo en un segundo y medio, vamos que de una pasada al avion del compañerete le arrancaria la pegatinas :mrgreen: .

Me has picado la curiosidad con eso de las carreras de pilon, tengo que investigarlo por que no tengo ni idea del tema...
un saludo.
Avatar de Usuario
Por Eduardo Nuñez
#991085
Lo de las fórmulas de la aceleración angular y fuerza centrífuga, no tiene nada, es buscarlas en la wikipedia y aplicarlas.

O en este calculador http://es.easycalculation.com/physics/c ... -force.php

Los otros asuntos son más de entender el concepto, como lo de que si el ala se sistenta a sí misma. UN ejemplo, de un folio corta una tira de 1cm de ancho, endrás un ala de alargamiento 27, si la sueltas en el aire, observa lo que ocurre, gira sobre sí misma, (coeficiente de momentos distinto a 0), ¿pero flexa? prueba ahora colocando un clip en el medio.

Si la fuerza centrífuga supera a la fuerza que puede generar el ala a su coeficiente de sustentación máximo, entrará en pérdida, abrirá el radio de giro hasta que la fuerza centrífuga sea igual a la que pueda generar el ala.
Avatar de Usuario
Por juan jose boullosa
#991089
Si, esto de los pilon, no he echo ninguna carrera :wink: , pero hace muchos años habia leido en el RCmodel (cuando tenian articulos .... :idea: ), de un recor de velocidad en Rc , con un velero de 2m y perfin epler 182 creo, lo lanzaron con goma y despues de un picado pasada por pista y medicion, termica pasada invers creo que pasa de los 200k/h de media, entoncers cuando construi mi pilon y vi la velocidad que cogia ( :oops: ), se me ocurrio hacerlo , trapada hasta nien alto , corto motor y pasada, solo te digo que dejaron de volar para verlo, nunca en mi vida habia visto algo tan rapido.

Respecto a la fisica , creeo tenia mal asimilado la velocidad angular, creia que era la velociadad en curva :mrgreen: , si no entiendo mal es la velocidad que te expulsa de la curva? :shock:

w=v/r; w=50 m/s2: 25m; w 2 radianes?

Eduardo tu pagina impresiona :shock:

un saludo
Avatar de Usuario
Por juan jose boullosa
#991091
ok , Eduardo, este enlace sale en el caso que hice 75 N
luego:
F=mw2R; 0.750 kg*2 rad*(2*r)= 75 N


este enlace tambien interesante:
http://www.imperialtometric.com/conversion_sp.htm
75 N......= 7,64 kg-f
:mrgreen: esto parece que marcha

hace años cuando estudiaba FP2 recuerdo calculabamos las barras de las cerchas de un tejado de una nave industrial por metodo grafico, barra a barra, este tipo de construccion es igual a la estructura de un ala, intentare recordar como lo hacia :roll:


Ese efecto que decis , cuando el giro es tan cerrado, se me manifiesta con una figura entre tonel volado y barrena plana :cry: , que susto .

El caso en que en F5J que las velocidades de giro no son muy altas, creo voy muy dimensionado en to


un saludo a todos
Avatar de Usuario
Por sukoi
#991097
juan jose bullabosa, si quieres podrias intentar calcular el ala como una viga empotrada simple con una distribucion uniforme de carga , la carga seria la inversa de la sustentacion :mrgreen: ( idealmente, pues la distribucion de la sustentacion en el ala no seria uniforme aunque su forma sea la de un paralelogramo , tendria menos hacia las puntas por las perdidas aerodinamicas )
variando las cargas podrias simular distintas situaciones ( mas o menos G's ).
a modo teorico seria interesante ( pero complejo/tedioso/ un poco caro a nivel personal :oops: ) el simular distintos tipos de construccion habituales y hacer pruebas de resistencia :roll: para intentar sacar unas tablas de construccion, pero esto solo seria practico para elementos de competicion o si por ejemplo se pudiera conseguir una colaboracion entre una serie de foreros y estandarizar los metodos de construccion/reparto de trabajos/pruebas de resistencia.

soñar es gratis :roll: :wink:

saludos
Avatar de Usuario
Por juan jose boullosa
#991112
hola , suhoi llevo dandole vueltas por la tarde, lo que dices, y digo fuerza 1 *distancia 1 + f2*d2+f3*d3....= 7,6 kg(al centro del modelo o pared de la viga empotrada)

osea masa*distancia= 7.6 kg; m1= 7.6 k/d1, lo malo es que mis matematicas se acaban aqui, como pondero las masa, -.... :roll:
Me has dado la solucion :mrgreen: , simulando varias, pero creo que tambien se puede estimar graficamente ....esto se pone caliente caliente

Aunque teoricos , para aplicarlos por lo menos sirve para hacerlo por el buen camino, construccion clasica de costillas etc, resistencia de tornillos etc(esto me tre mosca), en la f5j vamos a minimo peso , luego minimo material pero resistencia proporcionada, estos modelos llegan a volar con 500 gm o menos el los punteros.
Yo mismo sustitui la construccion clasica por la colocacion de viga en forma de tubo, cada año reduzco la seccion...hasta que ... :cry: , ahora con el tema este me habeis habierto los ojos

un saludo
Avatar de Usuario
Por Eduardo Nuñez
#991226
No teneis que confundir la velocidad angular, que se da en radianes por cada segundo, suena raro, pero sería el ángulo que barre por unidad de tiempo, algo así como las revoluciones por minuto.

También está la velocidad tangencial, esa sí es a la que va el avión y para una misma velocidad angular, aumenta con el radio.

Si un cantante tiene 30 segundos para dar una vuelta completa al ruedo (en una antígua plaza de toros), si lo hace cerca del centro, lo hará andando, si lo hace por la barrera, tendrá que ir corriendo.
Avatar de Usuario
Por juan jose boullosa
#991304
entonces en la formula de la fuerza el w es velocidad tangencial? :shock:

huy me pierdo , menos mal que sabeis de que va esto

un saludo
Avatar de Usuario
Por Sr. Montesa
#991340
Hola, apenas tengo tiempo de escribir, pero rapidamente os comento...
Eduardo, tu ejemplo del folio de papel no puede ser mas grafico ni claro, muy bueno.
Juan, creo que la formula de la fuerza no la aplicas bien, es por que al escribir con el ordenador no se pueden poner como en un papel (en 2 pequeñito de un cuadrado).

Escribes: F=mw2R; 0.750 kg*2 rad*(2*r)= 75 N :cry:

Pero en realidad los informaticos para evitar confusiones ponemos:

F = m * (w*w) * R tb F = m * w^2 * R (vamos, que te ha traicionado la pantalla :? )

F = 0,75 * (2,5*2,5) * 20 = 0,75 * 6,25 * 20 = 93,75 Newtons o Kg m/s^2

donde w la he calculado como:

w = v / R; w = 50/20 = 2,5


Otra cosa, la calculadora web tambien me da el resultado de 93,75 N y la aceleracion me dice que la que es 125 m/s^2.
Sigo dejando en el aire la cuestion ¿125 G's no son muchos comparados con los 7 G's pronosticados?
O el avion va muy rapido o la maniobra es muy cerrada o ambas cosas, si no, no lo entiendo. Que alguien M'loxplique porfa.

(parentesis espacio-temporal :arrow: )

Je, je, ahora caigo :oops: :oops: :oops: .... la aceleracion terrestre son 11 metros por segundo en cada segundo (mas exactos creo que 10,8) ......POR FINNNNNNNNN :P :P :P .

Por lo tanto 125 m/s^2 equivalen a 125 / 10,8= 11,57 Gs

Según todo el rollo anterior, si mis alas soportan hasta 15 Kg sin arrugarse, para un fuselaje completo de 3 Kg no puedo/debo pasar de 100Km/h en una maniobra con radio de 20m.
(tengo en cuenta que hay que sumar un G por el peso generado por la gravedad terrestre, esto es cuando al estar picando levantamos el avion, a la aceleracion propia de la maniobra le añado la atraccion gravitacional, si la maniobra fuera fuera al reves, habria que restarlo).

Guau, ahora me empiezan a cuadrar los numeros :idea: , aunque veo que mi avion es una porqueria :evil: . En fin el siguiente quedará mas resistente.
Un saludo y buen finde.
Adjuntos
Fuerza Centripeta.JPG
Tabla Gs.JPG
Avatar de Usuario
Por juan jose boullosa
#991348
Haaaag , es verdad no lo escirbi bien, no es que no supiera si no que las prisas, el teclado del portatil y la oscuridad de la oche...y lo chapucillas :lol:

vale , repaso todo a ver si me entero bien
creo que 20 m de diametro en giro es mucho giro :shock:
un saludo
Avatar de Usuario
Por Eduardo Nuñez
#991364
la aceleración o gravedad terrestre es 9,8m/s^2

w es la velocidad angular, no la tangencial
Avatar de Usuario
Por juan jose boullosa
#991410
ok , buen fin de
ya decia que me descorcertabas con los 10,8 m/^2... :( , aclarado,

un saludo
Avatar de Usuario
Por juan jose boullosa
#991496
ahi va eso, si esta bien , sigo con la estructura
:shock:

un saludo
Adjuntos
tabla.jpg
Avatar de Usuario
Por Eduardo Nuñez
#991519
qué superficie tiene el ala?
Avatar de Usuario
Por juan jose boullosa
#991678
36 dm2, la que utilizamos para estos calculos

un saludo
Avatar de Usuario
Por juan jose boullosa
#992045
Hola , antes de seguir mejor comprovar si voy bien , os pongo datos sobre los que trabajo:
velero de 2m de envergadura
peso 750(sin alas), osea peso muerto
sup=36dm2 ( alas)
------------------------
para una velocidad de 180 km/h y un giro de 20m de radio nos salia una fuerza de 10k g redondeado hacia arriba.

Depues de lo comentado he deducido que este problema es un caso de viga empotrada con diversas cargas en viguetas, osea cada ala 5k, repartidas en 16 costillas(6cm de separacion), salen a 312 gm por costilla

estoy haciendo la grafica de fuerzas para que lo comproveis :shock:

un saludo
Avatar de Usuario
Por dedalo1111
#992049
¡Adelante!!, me parece de lo más interesante el tema que habéis iniciado 8) 8)

Una ayuda con el Excel: los valores constantes puedes darle nombre a la celda (p. ejem: CARGA_ALAR, PESO) ... en la barra encima de A1, hay un cuadro que dice el nombre de la celda sobre la que estás, puedes modificarlo p.ejem. te situas en A2 y escribes el nombre que quieras (CARGA_ALAR ). Con eso no necesitas las columnas repitiendo los valores de carga alar, etc. ... en las fórmulas pones "=CARGA_ALAR*C3" y siempre se refiere a la misma celda (A2) en coordenadas abslutas :wink:

Salu2
Avatar de Usuario
Por juan jose boullosa
#992142
gracias , lo hare, lo que no recuerdo es como se fija un valor de una celda para que no varie al copiarlo en varias celdas para conbinarlos?

os dejo una representacion grafica
se como en el borde del ala los 312 gm llegan a 0 y aumentan en direccion al encastre donde suman los 5k de la semiala




ahora caigo en lo que dijisteis , no hay calculos de momentos de inercia de madera de balsa, para saber , pandeos etc, he encontrado esta de madera normal

este libro parece muy completo en el tema:
http://books.google.es/books?id=K-zJFkD ... &q&f=false



continuo....
un saludo
Adjuntos
vigas.jpg
monentos de inercia.jpg

¡Elija que Addons deben funcionar, utilice sólo lo que realmente necesita!